LibreOffice
LibreOffice
- Detaljer
- Read Time: 6 mins
- Visninger: 914
Dette er en stub, det betyder at den er under udvikling, og at der kan være rettelser i alle afsnit.
PC Kørekort – Light
◄▲▼►.
Her er der en del tekst, som er relevant om Ubunto – lang tekst, klip selv. Ikke noget om selve LibreOffice.
http://blog.blazingangles.net/soapbox/2008/12/linux-ogsa-bedst-for-almindeli.html
Ret – søg dette og ret, det er noget med regne regler i %
”Ændringer, der skal du stå i D3 og vælge : xxx”
- Detaljer
- Read Time: 30 mins
- Visninger: 2206
Libre Writer - LibreOffice
LibreOffice Writer har mange funktioner som f.eks. labels, import af data fra regneark, relative tabulatorstop, rullemenuer, understøttelse af mus samt endnu flere avancerede makro- og flettekommandoer. LibreOffice Writer understøtter at udskrive
mere end 1.700 internationale, juridiske, matematiske, videnskabelige og typografiske tegn.
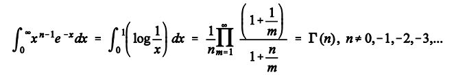
Formler kan oprettes ved hjælp af LibreOffice Math-funktion.

Med Skema-funktionen i Writer er det legende let at oprette, formatere og oprette skemaer. Skema-funktionerne giver mulighed for at forbedre skemaets udseende på mange forskellige måder.



